Congratulations to our MHS golf team! Mason Olmstead placed 9th and the team placed third.

It's not too late to submit your application! Meade Elementary is seeking a highly qualified elementary teacher to join our Buffalo family as we put students first and charge toward excellence. Apply today!

New benches were placed at the grade school and the high school. These were purchased with a matching grant from the Kansas Department of Health and Environment Waste Tire Grant Program.



Family, friends, and community members are invited to tour our annual 3rd Grade Wax Museum.
Mrs. Keith's and Mrs. Martin's students have been researching famous people in history. Visit the museum for a great learning experience! We hope to see you there!

You are invited to our 4th-6th Grade Spring Music Concert.
It is sure to be a great night of entertainment!
It is sure to be a great night of entertainment!

Looking for an easy way to get your child talking about their day? Try "High, Low, Buffalo”! 🦬
It’s simple:
⭐ High – What was the best part of your day?
🌧️ Low – What was the hardest or least favorite part?
🦬 Buffalo – Something random, silly, or unexpected!
This quick routine is more than just fun—it builds a strong school-to-home connection and helps kids:
• Reflect on their day
• Practice communication skills
• Feel heard and supported
• Share things they might not bring back up otherwise
You can do it at the dinner table, in the car, or before bedtime. It takes just a few minutes, but it opens the door to meaningful conversations. 💜

It's a great day to be a Buffalo!
We have THREE new school records for MJH Track.
Tyson Krier threw 126' 1" in the javelin to break the eighth grade record, and Ryle Jones broke the seventh grade record in javelin throwing 73' 1". Jackson Ediger broke the eighth grade 100m hurdles record (again) with an impressive time of 14.13 seconds.
Congratulations, fellas! We are proud of YOU!



The JV team had a nice showing at our home tournament. The team finished first! In the girls division, Micah McDowell with an 8th place finish and Jaylee Eckhoff finished 6th. In the boys division, Cayden Olmstead finished 5th, Chet Powell 3rd, and Colt Dizmang 2nd. Congrats!

MHS Track @ Holcomb
Friday, April 24th
Good luck, MHS!
Friday, April 24th
Good luck, MHS!


Happy Administrative Professionals Day to the BEST in the business!
Mrs. Debbie and Mrs. Cowan at MES/MJH
Mrs. Angela and Miss June at MHS
"No one is more cherished in this world than someone who lightens the burden of another." ~Joseph Addison
Mrs. Debbie and Mrs. Cowan at MES/MJH
Mrs. Angela and Miss June at MHS
"No one is more cherished in this world than someone who lightens the burden of another." ~Joseph Addison

Meade golf at the Medicine Lodge Invite with a 2nd place finish as a team. Mason Olmstead medaled at 9th place and Tyson Knott is the individual champion with an 84! Way to go!

MJH Track @ Cimarron
April 23rd beginning at 11:00am
Good luck, MJH Track!
April 23rd beginning at 11:00am
Good luck, MJH Track!

📣 Preschool & Kindergarten Roundup is Coming SOON! 🦬
💜 Do you have a little one ready to start their school adventure? Join us for our Preschool/Kindergarten Roundup on May 14th!
This is an exciting time to meet staff, learn about our programs, and get your child ready for the 2026–2027 school year.
✨ What to know:
• 30-minute appointments
• Bring your child with you
• Roundup is required for students planning to attend Preschool or Kindergarten
📲 Scan the QR code on the flyer to fill out the form, and WE'LL CONTACT YOU to schedule your appointment time!
We can’t wait to welcome our newest Buffaloes to the herd! 🦬💜

The MES/MJH PTO is extending the Mother & Son Kickball Night Presale to Tuesday, April 21st.
Be sure to get signed up. It's sure to be a great night of fun!

Our MES K-3 students have been busy learning so great songs to entertain their audience!
Make plans to enjoy the fun!
Tuesday, April 21st at MES. The program begins at 7:00pm.
Our students are instructed by Mrs. Rosanne Price.
Make plans to enjoy the fun!
Tuesday, April 21st at MES. The program begins at 7:00pm.
Our students are instructed by Mrs. Rosanne Price.

Our USD 226 BOE has approved the 2026-27 school calendar.
Only four months until the first day of school!
Only four months until the first day of school!

**MHS Track Update**
The start time for MHS track meet in Spearville has been moved to 1:00pm.
Please see the updated Order of Events for the new start times.
The start time for MHS track meet in Spearville has been moved to 1:00pm.
Please see the updated Order of Events for the new start times.

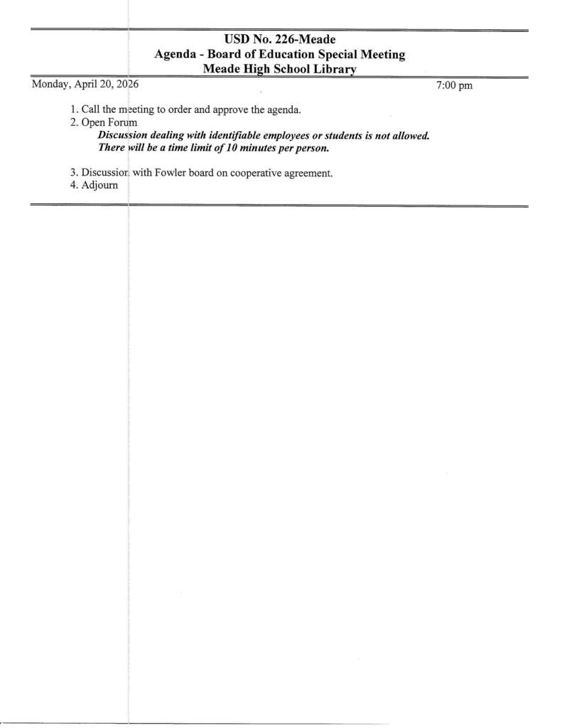
USD 226 will host a Special Board Meeting with the Fowler Board of Education on Monday, April 20th at 7:00pm to discuss the cooperative agreement between the two districts. This meeting will take place in the Meade High School library. This is an open meeting. The public is welcome to attend.

CONGRATULATIONS to our Mini Spelling Bee winners!
Everly Reimer is this year's Champion.
Sam Dale is our Runner-Up.
Kudos to all our 1st-4th grade participants! We are proud of YOU!
Everly Reimer is this year's Champion.
Sam Dale is our Runner-Up.
Kudos to all our 1st-4th grade participants! We are proud of YOU!
MHS Track @ Spearville
Friday, April 17th
Good luck, MHS Track!
Friday, April 17th
Good luck, MHS Track!

